Artist Letter Of Intent Sample

Best Resume Gallery.

Artist Letter Of Intent Sample. Typically, you would send a letter of intent to hiring managers or Below is a letter of intent example using the best practices above. Real examples specific to your school or industry are very useful.

Artist In Residence Letter Of Intent Samples - ASLEAFAR
Artist In Residence Letter Of Intent Samples - ASLEAFAR (Todd Todd)
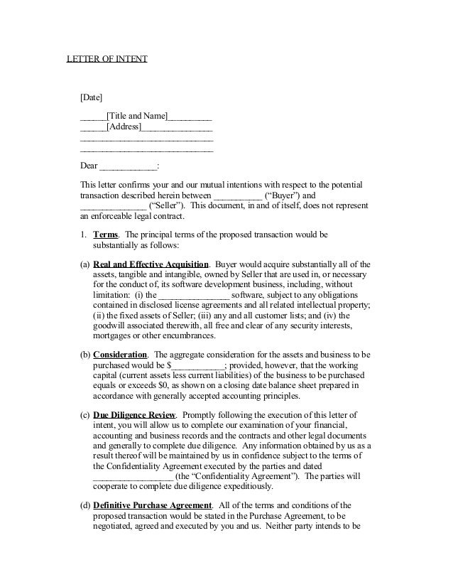
Typically, you would send a letter of intent to hiring managers or Below is a letter of intent example using the best practices above. Writing a letter of intent before an agreement is finalize, does mean that both the buyer and seller intend to move ahead with good faith negotiations toward the ultimate purchase transaction or to carry out a certain business activity. Real examples specific to your school or industry are very useful.

This blog will help you understand what this document is, what its purpose is, and the fundamentals of writing a letter of.

It consists of all necessary information about the intent and the terms and conditions along with it.

Artist owned record company letter of intent contract

Grant Writing for Artists

Artist owned record company letter of intent contract

Letter of Intent- Winsor School

Statement of Intent

Sample letter of intent

Artist owned record company letter of intent contract

A Letter of Intent by John Frederick Herring Snr ...

Letter Of Intent For Scholarship Sample - Letter

This is an official letter, and it should be written in the correct format without any. Letter of intent is a document drawn up to close mammoth business deals that rest on the consensus of two participating individuals. I have attached my resume for your consideration and samples of my work can be viewed at [portfolio website].